什么参数会影响晶振的近端和远端噪声?

发表于 2025-01-10 13:09
楼主 | 电梯直达
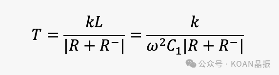
1. 起振时间(T):起振时间的长短主要由晶体的谐振电阻和振荡器的负性阻抗共同决定。高Q值的晶体谐振电阻较小,因此起振速度更快。

Image

其中:谐振电阻R,负电阻Rˉ、动态电感L、动态电容C1、频率ω、k为常数(12~30)。


2. 负性阻抗(Rˉ):KOAN振荡器的负性阻抗通常设计为晶体谐振电阻的3至20倍,这样可以有效加快起振过程并提高振荡的稳定性。负性阻抗的倍数越高,起振速度越快。

Image 

其中:gm为跨导,与振荡IC的设计相关。

在负载电容CL较小的情况下,增加gm的值可以提高负性阻抗,从而加快起振。


3. 负载电容(CL):负载电容的大小不仅影响振荡器的负性阻抗,还会对近端和远端相噪带来不同的影响:

  • 小的CL:较小的负载电容使负性阻抗变大,起振速度更快,牵引量更大,但同时也更容易受到杂散电容的影响。这对近端相噪有利,但可能增加远端相噪。

  • 大的CL:较大的负载电容会减小负性阻抗,导致起振速度较慢,但杂散电容的影响较小,有助于提升远端相噪的稳定性,可能对近端相噪不利。

查看: 471 | 回复: 1
admin
  • 发表于 2025-01-10 13:09 | 只看该作者

    沙发

    KOAN晶振有E5052B信号分析仪器(相位噪声和抖动)、S&A280B(振荡器)、S&A250B(谐振器)测试仪器,以及高低温箱,抗冲击试验设备。能够检测温度、负载和功率电压变化条件下的频率稳定性。


    【真诚赞赏,手留余香】
    admin
快速回复
验证码 
您需要登录后才可以看K帖子,并且发帖评论 登录 | 立即注册